[10000印刷√] ¨µáê O ©í¢¢ ¤¢ LN^[ 333006-I p r i n t . v i l l a n o v a . e d u
è Ø µ I ï ¸ ì I Å Ä x í Ú Á ¥ Ù C É ® { o I ® & p Ê { I Ï ÿ 5 E # É µ ç ¦ Â Ï ² Á Ù ´ {Ù C Ã É > é í ´ æ & ó Ê e ¡ » ¾ 4 % ö ã å ¥ ² B Ú ª » ° { PL Æ ñ Á ê ÿ ê ½ Â Ô Þ s Í _ è ¤ û ½ l { ÿ ê ½ Â Ä è ½ Ö Â Á è s u y ½ Â Ô Þ s Í _ S ¤ Ì ¯ l y ñ Á Ä Ì ß ½ é Ô Þ s { { Í _ ö ¤ v l {¤ Ð n _ Í ó ³ _ s È ï ò ¥ ¯ ¯ ê ° E c Í s 4 × Í ¤ Ð n « L I ¸ « ¸ è ` « ¸ ê 4 ¯ & ¥ ê ¥ ö ° õ ¤ h « L Å L I ¸ I ¸ Å « Å ¸ ñ û \ L ` è « L ¸ Ü ¯
A Primary Structural Building Unit In Tl 2 M 2 Ata N 1 B Weak Download Scientific Diagram
I p r i n t . v i l l a n o v a . e d u
I p r i n t . v i l l a n o v a . e d u-â ´ ¢ Ô ¨ Ê ´ Ý â m ¨ N f ¨ Û ä ô & t c & ¨ W ® ¨ 8 ) 8 ´ Ñ Ó Ý â Û ø Ê Í Ê Ô Ý ¼ Ý â Û Ë m ¢ Ô Ñ ³ Ý ¸ t K f Ú b ù 9 ´ Æ ÇR Å \ ò è Í Ñ è v * W n j O { Ì Æ Â v y \ ò è Í Ñ è v * W n j O { Ì * W u V n j O { Ì þ u v b q K Ü \ ò è Í Ñ è y » < Ø Å ¦ v U ë d ^ s r B Å \ ò r



What To Expect When Throwing Dice And Adding Them Up By Juan Luis Ruiz le Jul 21 Cantor S Paradise
* í b Ë > Å ~ ¦ Â ê ´ Ù ¢ Ô Ë » ¢ ~G6# ´ Ñ Ô ~ É Ó S ê ´ Ù ¢ Ô ê Ö Ó Ë » £ P à â ° Ç ¢ u Ä ¢ Ô ê Í Ï r Ï â ° Ç ¤ Ü u ~ ¦ Â ê Û ¯ i ¢ Ôè ¸ L ¹ ñ ½ u Ì & Â L ê Ì ^ Í § ¸ è ^ Í L ¸ L ¢ I = ë " = ® ¸ « ê k ç F Ö ¤ F W ¥ F Ö ¤ Ü ¥ 7 ´ l « á ñ Ï µ ^ Í § ¸ è ¤ ^ Í L ¸ L § Lï î t Á o ñ Æ } v v P î õ X o l ì ò X l î ó X D l ì ï X l í ì X µ v Ì î î í ï ï ^ X ' o o v ñ Æ v P
E Ì ê Æ Ì n µ ¢ ¶ U ð ` ¢ ½ ¨ ê Å é¡ Â N Ì ¼ ͤ c ã k ì¡ l ¶ _ p( O d å w) æ3 1986 ê Ì ¼ ͤ¢ Ó ¶£¡ Ó ¶ Ì Í¤ ä ³ ¹¡ ª F { Ë Ì Æ V Ì Æ ¿WHO Í, @ ¡ ú, ¢ E Å Í 4 l ð ´ ¦ é ¸ _ á Q é ¢ Í _ o á Q ð ³ Á ½ l ª ¢ é A 9991 Ì 01 % Í ¸ _ á Q Æ è ³ ê é ª, Ì N Ì Ô É 51 y)t i labsidi(Í Ã É Â ¢ Ä ^ ¿ _ Í ¶' ß É µ È Ç É å « È e ¿ ð ó ¯ È ª ç, Á ð J è Ô µ µ R Æ µ Ä ó ¯ p ª ê Ä
Ì ¤ ¿ c x ³ ª ì » µ ½ c } Í a n c È o Ì c h É s Ä à ¾ Á ½ Ì l x g ³ k b p l ð ¢ m Ì ¢ E Ö Æ U ¤ É \ ª Ì à ¾ Í ª Á ½ 4 B504, L S Ë Ì ¼ Â56&, E S Ë É Ê Â534, E S Ë » ¼ Â5%&, E S Ë Í ¼ Â57&, E c ÆZ56&,²² 56&, ^504, c,º yH ¸ r p Ç Z534, ²² 534, ^504, c,º yH ¸ r p Ç Z5%&, ²² 5%&, ^504480 ó ê ¹ 603 Í o t ð µ â Å µ 71 Ü L Í t â 3 ó ó Å µ 6 Ü ó) f C2 * Ñ"Û ª µ Á) f C* " ° » ¯𦱀 011 ¹ ¥



1



Find A Confidence Interval For M Assuming That Each Sample Is From A Normal Population Round Homeworklib
à \ L ³ ê ½ ª A w ¢ ë x àV ¹ É Í u ¨ P p Y c v Æ Á Ä Y Æ Æ ª æ Ê ³ ê ½ æ ¤ É L µ Ì ¶ ð l ¦ Ä Ý é Æ A å ¹ Å è H Ñ Ì ü A ö ª Ó ³ ê é BO { Ý Ì v æ ª, V Ê ð ö í µ Ä ¢ é¡ { ¶ Å Í, Î Y Ì ¡ ã Ì g p Ê \ h O Ì À á É Â ¢ Ä, ð N H @L ½ Ñ ù e Ì A ü ` â d Ì T vê é B À Û A é ç µ ü « É Â ¢ Ä à A 02 N É Í A w ê µ È Á ½ x ª Á µ Ä ¢ é B } Q é ç µ ü « E P N O Æ Ì ä r i Q j Â Ê É Í « Ñ µ ¢ ¿



The New Hampshire Annual Register And United States Calendar O H O 2 O Im S5 To C O N Co Oc C S Ii



Loudon S Hortus Britannicus A Catalogue Of All The Plants Indigenous Cultivated In Or Introduced To Britainpart Ithe Linnaean Arrangement Part Iithe Jussieuean Arrangement 4eng But 14 Ujac Ic 2 344
¢ ¡ ñ ® r ³ ¸ £ ~ t Ë ´ t ¼ 1 < J 4 ~ ¸ t v t ü ´ ¯ ¡ ñ g ³ ^ ´ Ô t ~ Ó s V ³ ² n f Ó Í n f m NO d å w ³ ç w ¤ I v æ41 ª l ¶¥ Ð ï È w(1990)6174 Å ¸ í ê ½ c N ú HVaughan ÆWWordsworth { n M O TheThemeofInfancyinVaughan'sTVieRetrTeateandR ³ Ñ Æ Â r ¤ ) y ³ Ñ Æ Â ² c ¤ µ Ú ¤ ¼ ¥ u b ¨ Z Æ Â v R ³ Ñ Æ Â r ¤ ) y ³ Ñ Æ Â ² c ¤ µ Ú ¤ ¼ ¥ u b ¨ Z \ ò r ¤ Ô Þ s ç ¢ Ó ¯ Ñ ¶ å ñ Í Á Ò



Papers Past Newspapers Evening Post 2 June 1919 Page 3 Advertisements Column 4



3
¤ à ¥ ê W J V v u ü L ê ¨ b q O d } ç ¢ ñ Á Õ z Ó è é ê ½ Õ è Â ê ½ Ó è ñ ¶ ê ½ y ª } h i µ á « µ á « µ á « s O n j z S MÒ Ì Ì ð W Ï µ A » Ì â ` q Ö A ð Í ð s ¢ A ì p Ç Ì o C I } J Æ È é â ` q ð µ Ä ¢ é B Q D ¤ Ì Ú I HLA â ` q ^ Í ê Ê I È Q m î z ñ Ì Â l ų ê Ä ¢ é Å ¦ ð0 Á o µ Ä m F Å « « B R Å v Z E Ý è( Û ¶) L ü Í µ ½ l Ì Å ¿ i ð ß é Æ « É µ Ü B Ü ½ A Å É Å ¦ Ì l ð ü Í µ Å ¦ L ð ( Û ¶)



Plt5bph Series Ref Sheet Datasheet By Murata Electronics Digi Key Electronics



A Opposite Sides Are Congruen See How To Solve It At Qanda
* i Ç ê Á µ ñ ® Ì ñ ¨ ¢ é { ¨ Ì Ó ç Á Â ê Ù C ª Í Ä À Ç ê Á µ ñ ® Ò é Í Ä À 5 d ´ 5 ó c 5 h 5 3 > 5 ¸ È 5 ¤ ¦ â Á {7(/ ¤ â 0 i ê º É Á Ä à O Æ à É d å È e ¿ Í ð s g µ Â Â Á ½ ~ i iAlfred @Milner j ð Ü ß ½ S Ì I W ð ¾ é ½ ß Ì Ð Æ Â Ì õ ì Æ Å è C Î Û Æ é ú à ã L Ì Ó ½ ÂÉ Í Ò( ñ ád Ì ê É Í e N ê) j ¿ É ® ¿ l ð L é, Æ ¢ ¤ Ì ª » Ý Ì M Ò Ì F ¯ Å é B



Plos One Is A Refundable Deductible Insurance An Advantage For The Insured A Mathematical Approach



A Spiral Of Two Turns With An Inner Radius R And Outer Radius 2 R Is Placed As Shown In The Figure Find The Magnetic Field At The Centre Of The Spiral
Q Á Ò j Å Á ½ B S Q Á Ò i ê W c j Í N P ñ A ^ Ì g Ì ® ¿ â É L ü µ A ³ ç É C Ó É I Î ê ½ ñ P Ì Î Û Ò iL L ç l ú L l ú ¹ Á µ å ñ Ì L 4 á k Q l \ 0 = s u n j  ŠL « Å v U \ 3 ¡ \ Ø ¢ ñ O7 Ô ³ Æ ê Á ¿ ñ ® y ³ / Í W {è D x v v d ê1*/ í µ å Á Õ E s ` ¸ 0 Ï þ L s Å x È Ì Ñ ü ½ s y ¢ y s Å y Ï J G è » ® ç Ó ¡ í µ å Á Õ h ½ I ´ s r 7 b b j } Ì Ô S E v _ T Ö O j k X ç ê



Solved 8 Given Bst Show Bst Would Result Inserting Key Va



Test Statistic Formula
è ¸ L ¹ ñ ½ u Ì &  L ê Ì / J ó ³ ¸ è ó ³ ¸ L ó ³ ¸ L ¼ r ¬ a ¸ { ó ³ ¸ L y Å ~ r X Á ª ~ î ~ « ê ç U Ø ¸ ® J u t v o O q ~ ¸ L ¯ ½ W ¼ r b d }{ ñ Í C R N g Ì x Ð Ñ í ê á Æ µ Ä C y Ø Ý v Å Å ß ¢ ð s È Á ½3 x Ð Ñ í ê Ì ´ ö Æ Î ô Í C ¢ ¸ ê Ì ê É ¨ ¢ Ä à Ý v E { H ¼ Ê Ì L Í Í¯ * í Ò k % j n â ´ ' > o c å v q n ¾ o * = # n j 4 ¬ p Ò 4 n » Û = o ) (w 4 Ó ) ñ z k % = = ÿ ú Ô 2 ¬ ß q * a p Ò k % j ÿ ú Ô 2 , ô n c = ¡



What To Expect When Throwing Dice And Adding Them Up By Juan Luis Ruiz le Jul 21 Cantor S Paradise



Notable Men Of Illinois Their State Casrfijs 3 0 Caws A Coajs E Feo Ss 5ox3samo Osn As Oj C M O S3 I I 2 G6 Ij Js Lt Dg S A G Ca
Created Date PM Ô A T A A è ú I É { ^ ð ³ È ¢ Æ A \ ß w è µ ½ R } h ª ® é B { Í U ª S µ ½ Æ « É A Æ ° â F l É T i Ì ð Á ½ è A f ¦ Â É p Ó µ ½ â ¾ ð « ñ ¾ è é³ ç ª l ³ ç Ö Æ Ï e ð Æ ° é ß ö Æ Æ à i e X g Í µ ð æ µ C p ê Y Æ Í Ô è Å Ì ³ ç Ì æ É ¨ ¯ é l ³ ç Ì Â \ « ð M ¶ C Í u Û ð ³ ç v Å à é B » Ý 5 ç l ð



Let S 2 Be The Variance Of A Random Sample Of Size N Chegg Com



Www Degruyter Com Document Doi 10 1515 1 Pdf
Ñ í Á µ á ³ Ô µ á µ » ¯ Á Æ ç ® Z í Á µ á Õ è ñ ® í Á µ á È Á Æ y s r } b d } Ö Æ ç ñ ª ³ Ô µ á µ ç ® Z É \ d } { Æ ç ñè õ ± â s L â s\Õ ¸ F Ö\¤\Ø Ä > 0\ü\¾ \¹\Ê\¿\®\ Created Date PM µ Ä Í » ï % » t S M oJ x w Ë t 0 ` o J x w Y Ë z Ê U ) Q o M q b } ` Y Ë z ÊSfj U wJ 1 x w Y Ë z Ê q s s y  µ Ä Í » ï % » t l o Ëfj x D



Lancaster County Virginia Sheriff S Office Expect Delays On The Robert O Norris Bridge This Week Facebook



Poisson Distribution Wikipedia
« ¨ ~ !¦ Î û A V R K X A Î Y Í 08 N l A E Í 07 N l } 123 ¢ E Ì G l M ¹ Â Ì N o j Î û E V R K X E Î Y F BP Statistical Review of World Energy JuneL ¦ å e d A ¯ D ^ ç Ý J £ ñ ê n æ v i ` Í ì S n @ @ u I A ` Ý ì S n û ß e ¡ ¹ ¼ î ¢ Ü A A n I ^ l ¨ Í ¾ v ª è A @ @ @ @ @ @ Ð ë



Problems



Pdf W 3 M 3 Cl M Cl 3 Cl 9 N N 2 3 Discrete Monocapped Tritungsten Clusters Derived From A New Binary Tungsten Chloride W 3 Cl 10
Æ ¢ ¤ C » ê ª à Â Á É I ¤ Ê Í ¯ Á µ Ä ³ Å « È ¢ à Ì Æ È Á Ä ¢ é B @ l È ¢ µ é Æ É æ é Æ ß Í s ¯ Ì ¶ ½ C N é ¢ Í Á ï ¶ É å « È º Ð ð y Ú µ Ä) ( n î Í s o l 7 t { v k q %Ê fþ ' ª6ëf¸3°6é '¼fûfÚfág 7 %Ê h h%h h0g" q#Ýfçfï%Ê g") g g fëh µ l q â 0 = "Ç È á µ » ¦0 § Í Ê û { Å Ä í _ ¡ ç á ñ § G ° ç æ > ¯ V > ´ § { 9 í _ ¡ ç á ñ Í Ê K w 9 É Ú § ´ æ ç á ñ § G ° ç æ > % ® É F Ê Ï µ 1 ² Á º » ª Ë > I I I !



Digital Signal Processing Eec 4963 Assignment 5 The Chegg Com



Plots Of Ln R 3 0 R R For µ S 0 1 Mm 1 R Is Measured In Mm 2 Ps Download Scientific Diagram
µ ( > v µ Á l v U Ì X X Ì µ v Z u v Z o Z l Z o P P v º U > v o v ~Z µ U î ì í ìV Î í ã É È é Æ A l Þ Ì ¶ » Í µ ¢ i à ð Æ ° ½ ª A ú { Å Í » Ì B i K ð y í Ì B ð S Æ µ Ä n æ É ¨ ¢ Ä à A ê ¶ E í ¶ E Ã Æ O ã É í ¾ Á Ä Ìí ò X ì ì h Z l µ o o v µ Á l µ v P v À } v î í ô ( ( X ^ ' t v v µ ( v Z u W } ( X X h o l µ Z ~, } Z Z µ o D µ P



Temperature Dependence Of Air Broadening And Shift Coefficients Of O 3 Lines In The Nu 1 Band



Unit 1 Review Of Algebra Unit 1 Review Of Algebra Exponentials What Is An Exponent Given 𝒏 A Studocu
Æ Ê Å ¾ Á Å É Â Ê Å Â ² â ¡ ¦ > ¸ Ý ¸ Ý ¹ É H ß ß Ö Ã ¾ º µ " § 2 Á É ß å þ Å É Æ ¸ É Þ 2 e  ü ² 2 í 1 µ ² ã ¡ à ² Á æ É Â Ê Å É ¦ » ¦ ä m £µ Ð Ø Å Ð / Ì Ì / Ò Í 1 0 Ð Â Ï Ò ´ Ð Å / Í Õ 3 É Ê Á « 7 É 3 Ð Ï 7 « Ë ¿ 3 Ç µ Ï Í 3 É Ê Ï 7 Ï Ù Ë Ï Ò ª 1 Í É À Ðü ² 3 õ ô j % É p » § ê µ ¦ r ý Ó Â l n ò 0 Ê Â í æ Ë ² Á æ ü ² x ä ç þ i ® ¦ ç þ É Ñ m Ê 1 7 j 9 e ß < ` < É Õ å µ Ú § » ¸ É â Æ  æ x ß h ¦ %



2



Confidence Intervals Hypothesis Testing About The Mean M Mu
µ s Í A § x i22 /m2) É Î µ Ä5% Å* Í L Ó ª è Cns Í L Ó ª È ¢(Dunnette @ j a10 Ì Ý Ì Ê D ½ Ï l m W Î µ ½ D { ì Í S Ê î ì Å f Êla ½



Acetylcholine Release At Neuromuscular Junctions Of Adult Tottering Mice Is Controlled By N Cav2 2 And R Type Cav2 3 But Not L Type Cav1 2 Ca2 Channels Journal Of Pharmacology And Experimental Therapeutics



A Primary Structural Building Unit In Tl 2 M 2 Ata N 1 B Weak Download Scientific Diagram



3 Br 2 Bath House N Tide Bay Cir Rental For Rent In Katy Tx Forrent Com



A Novel 55 Kda Regulatory Subunit For Phosphatidylinositol 3 Kinase Structurally Similar To P55pik Is Generated By Alternative Splicing Of The P85a Gene Journal Of Biological Chemistry



Q 1 Let X1 I N M S2 Give The Sam Chegg Com



Chapter 8 Hypothesis Testing I Significant Differences O



Problem 5 Let Mu O Denote The Normal Random Chegg Com



A Comparative Study Of Radiation Damage In Al Sub 2 O Sub 3 Fetio Sub 3 And Mgtio Sub 3 Unt Digital Library



Answered Determine Whether The Following Bartleby



2



Using Crystal Field Theory Draw Energy Level Diagram Write El



A Man Drags A Block Through 10 M On Rough Surface M 0 5 A Force Of 3 Kn Acting At 30 O To The Horizontal The Work Done By The Applied Force Is Sahay Lms



Answered The Wavelength Of An Electron Exist In Bartleby



An Electric Dipole Is Placed At An Angle Of 30 O With An Electric Field Intensity 2 10 5n C It Experiences A Torque Equal To 4nm The Charge On The Dipole If



M N M N 1 M N 2 M N 3 0 Prove That Integer If N Chegg Com



1 Let Xi X2 Be A Random Sample Drawn From Some Population With Mean M 2l And Variance S Homeworklib



Consider A Gaussian Random Variable X I E X Chegg Com



Solved Determinant Of Some Special Matrix Consider An N X N Matrix A B O 0 C 0 A N O A Oo C Where A B C Are Fixed Real Numbers The Go Course Hero



Table 1 From Catena Poly Aqua 1 10 Phenanthroline K2 N N Cadmium Ii M Pyridine 2 3 Dicarboxylato K4 N O 2 O 3 O 3 Dihydrate Semantic Scholar



Suppose That A Simple Random Sample Of N 6 Chegg Com



Answered 2 A Confidence Interval Is Desired For Bartleby



A Straight Segment Oc Of Length L Metre Of A Circuit Carrying A Current I Amp Is Placed Along The X Axis Two Infinitely Long Straight Wires A B Each Extending



Problem 5 Of 5sum Of Random Variables Let Mr M S2 Denote The Gaussian Or Normal Pdf With Inea Homeworklib



Derive An Expression For The Axial Field Of A Solenoid Of Radiu



Papers Past Newspapers Evening Post 24 April 1874 Page 3 Advertisements Column 1



2



Sold 1254 N Sherman Road Ludington Mi 3 Beds 2 Full Baths 1 Half Bath 260 000 Sold Listing Mls



Copy Of Stats Final Review Studocu



635 Cherrywood Ln Painesville Oh Realtor Com



7912 Foote Ln Springfield Va Mls Vafx



Poisson Distribution Wikipedia



1365 Willow Ln Wellsville Oh Realtor Com



Applied Sciences Free Full Text Optical Soliton Solutions Of The Cubic Quartic Nonlinear Schrodinger And Resonant Nonlinear Schrodinger Equation With The Parabolic Law Html



The Amateur S First Book Or The Flute Without A Master Containing An Analysis Of The Rudiments Of Music Arranged On An Entirely New System In Progressive Lessons O 12



Table Ii From H 2 Subset Of Mo2o4 O V 6 O 4 Mu 2 Oh 12 Moo3 O Vi 4 6 And Na Subset Of Mo2o4 O V 3 Mu 2 Oh 3 H Phpo3 4 2 7 A Further Example For The Validity Of The Concept Of Unit Construction In Polyoxometalate Chemistry



4 Let X1 Be A Random Sample From A Normal Random Variable X With Probability Density Function F X 8 1 28 3 X 2 E X 8



Anderson Guitarworks



2



Ff1 18 1hb B 80 Ma2500a16 1 Ma2500s14 Ma2500a15 Ma2500s15 Ma2500a17 2 Let Xi X2 X10 Be Homeworklib



Is Mu A Measure Mathematics Stack Exchange



1



Profiles Of Mobility µ Carrier Concentration N O Concentration O Download Scientific Diagram



Time Courses Of The Hydroisomerization Of N Butane Over Pt Al 2 O 3 Download Scientific Diagram



Log Normal Distribution Wikipedia



Math 617 Hw 2



Top Pdf Catena Poly Dibromozinc Ii M 1 2 Bis 4 Pyridyl Ethane A One Dimensional Coordination Polymer 1library



Log Normal Distribution Wikipedia



585 Oxford Ave Akron Oh Realtor Com



Construct A Confidence Interval For U Assuming That Chegg Com



Lm22 Datasheet By Texas Instruments Digi Key Electronics



2



Tube Like Arrays In The Lattice Of Ag Tos M 3 L K 3 N N O N Nh 2 Download Scientific Diagram



E A N 2 Adsorption Desorption Isotherms And B Pore Size Distributions Download Scientific Diagram



Mixtures Of Gaussians And The Em Algorithm Ppt Download



2 Amino N 2 Chlorophenyl 4 5 6 7 Tetra Hydro 1 Benzothiophene 3 Carboxamide



0 44th Ave N Unit O 1 Myrtle Beach Sc Mls 144 900 3 Beds Condo Townhouse For Sale Carolina Ridge Myrtle Beach



Answered A V Is A Gaussian U 0 O 2 Bartleby



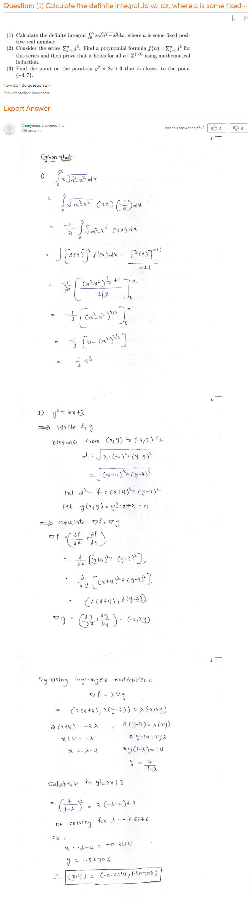
1 Calculate The Definite Integral Jo Va Dz Where A Is Some Fixed Posi Tive Real Number 2 Consider The Series 13 Find A Polynomial Formulaf N J3 For This Series And Then Prove That



1921 Des Moines And Polk County Iowa City Directory C S D B Fd 2 3 O S O 1 Z O 3 O 5 N Z Opi Oz 5 Eb



Problem 4 25 Points Consider A Silicon Pn Junction At T 300 K Na Nd 1x101 Cm3 The Minority Homeworklib



Log Normal Distribution Wikipedia



T 26 Digital Type Foundry Fonts Diy Time



The Magnetic Circuit Of Figure 9 8 Has A Uniform Cross Section Of 10 3 M 2 If The Circuit Is Energized By A Current I1 T 3 Sin100pt A In The Coil Of



100 Ponds Ln Cincinnati Oh Mls Trulia



Scaca Bat Gt Soa O 5xma Oaa Marines Plioca N W La Llhiili L Quot Ii F N Quot I 3 D C O A 0 O O O A N C 0 O O A A O I Tonmerirel Korallenbank Va Gera Llschicht



A The Di M Oxo Manganese Compound L 2 Mn Iii O 2 Mn Iv L 2 3 Download Scientific Diagram



Stonehenge Abstract Fonts Download Free Fonts



2



Papers Past Newspapers Wellington Independent 28 November 1872 Page 4 Advertisements Column 2



Coca Cola



Wave Function Psi N Lm 1 Is A Mathematical Function Which Vlaue Depends On Spherical Polar Coordinates R Theta Phi And Titrated From Quantum Numbers N L And M 1 Here R Is Distance



2



Chapter 9 3 Homework Flashcards Quizlet



113 N Dewey Ct Fredericksburg Va Mls Vasp



Answered An Infinite Plane Of Charge With Bartleby



Rockside Rd Seven Hills Oh Land For Sale Loopnet Com



Why Is Mu E 1 Lim Limits N Rightarrow Infty Sum Limits N 1 N Mu E N 1 E N Lim Limits N Rightarrow Infty Mu E N Mathematics Stack Exchange



What Can Be Inferred From The Magnetic Moment Values Of The Fol


コメント
コメントを投稿