[最も欲しかった] p[} bNX [X Y 343057
֑ s A s A ΏۊO B ڂ ͂ ͂ A ̔ m F B 125 J b g cz s N _ C h l b N X y j N 瑗 ł ͂ z ۏ؏ t y _ gƎ ɁA C ̒ ŒE Ȃ E ɂ C p \\ b N X ł B y p r z C p J y \\ b N X B y @ \\ E z e s O ʂ̂ T g ҂݂ɂ A ߕ A w J A O } ܂ B ̊ ~ ߃V R Œ C ŃY ɁA 蓥 ͂ T g ܂ B ӂ ͂ ܂ł̒i K v ɂ 葫 ̔ y A ɉ ᎗\\ h Ƃ Ă g p ł A b V ҂݂ɂ 芾 M o ̂ŁA ɂ C ̒ K ɕۂ ܂ B ƁE ܐ ̃N b V p C ҂݂ő ̏Ռ ɘa A j ɂ 悤 ⋭ Ă ܂ B ȁE A N E ̑ B SK11 ̒ C p y \\ b N X DCM I C ł͔̔P i E r p i E n E X N j O p i E X ̃G G t ʔ ( X ܗL) G G t ^ c X } z Ή ʔ̃T C g y I N j O v V b v z ւ悤 B Ɩ p b N X A ܁A ͂ ܁A @ ށA @ A r e i X i A ƒ p p i A n E X N j O p i ȂǂЂƒʂ萴 ł 鏤 i ʔ̂Ǝ X ܂Ŕ̔ Ă ܂ B ̃T C g ̓ X V uWEB T C g Ȃ̂ŃX } z ł ₷ 삵 Ă ܂ B
Ax B And G X Cx
p[} bNX [X "Y
p[} bNX [X "Y-In elementary algebra, the binomial theorem (or binomial expansion) describes the algebraic expansion of powers of a binomialAccording to the theorem, it is possible to expand the polynomial (x y) n into a sum involving terms of the form ax b y c, where the exponents b and c are nonnegative integers with b c = n, and the coefficient a of each term is a specific positiveZ y W Ɍf ڂɂ Ă ʐ^ A 摜 A e L X g ̒ 쌠 A яё ́A ׂāi L j X R b g N G C V L ܂ B f ځA ܂ ͖ f ł̏ p p ł ւ ܂ B



Ax B And G X Cx
En teoría de la probabilidad y estadística, la distribución binomial o distribución binómica es una distribución de probabilidad discreta que cuenta el número de éxitos en una secuencia de ensayos de Bernoulli independientes entre sí con una probabilidad fija de ocurrencia de éxito entre los ensayos Un experimento de Bernoulli se caracteriza por ser dicotómico, esto es, solo dosT C g F f A ~ b N X ̔̔ / C ~ b N X W p ЁA W F Ԕ C E J X ^ J / o C N E L f B J E Q t { h E y C E p l N A R g F r d l Ђ̐ i A ̔ u K 㗝 X v B y ̗A o ̔ f A ~ b N X ڒ ܂ U ܂ уV g p Ă A S ̃ y A V b v l ̑I ͊ԈႦ ܂ BT X y V > HKS > n C p } b N X IV GT LEXUS(14) g ^(47) Y(15) z _(10) O H(4) X o (19) } c _(2) X Y L(6)
A I f } h E v g A { A f W ^ ADTP ҏW ́A h L g T r X Ƃł B ̎d ɑ l ́A d Ƃ͐l Ɛl Ƃ̂ Ȃ ̒ ŒT Ă " " Ƃ Ƃł B" " ͕\ ̂Ȃ A ďグ ܂ BZ ʐ^ N b N Ƒ傫 ȉ摜 䗗 ɂȂ ܂ B1L 1ml 05ml 10L 10ml 5ml 50L 50ml 25ml
Search the world's information, including webpages, images, videos and more Google has many special features to help you find exactly what you're looking for2 { i ͕ۉ ʂ ܂ A { b N X ł B L ^ i ʋz j @ m Y ڑU b N X u U Y I C V b v ̃ O C ł B ̃y W SSL ɑΉ Ă ̂ŁA ͂ ꂽ ͈Í đ M ܂ B ߂Ă p 邨 q l u b N X u U Y I C V b v ł Ă ۂ́A o ^ K v ƂȂ ܂ B



On Generalized Fractional Integral Operators And The Generalized Gauss Hypergeometric Functions Topic Of Research Paper In Mathematics Download Scholarly Article Pdf And Read For Free On Cyberleninka Open Science Hub



Denkschriften Der Koiniglich Baierischen Botanischen Gesellschaft In Regensburg Botany Botany A 2 A S O Co R H O M O O A A A C Bo R I O Amp H D G A C
If x,y ∈ A (possibly x = y) then x2 kxy y2 ∈ A for every integer k Determine all pairs m,n of nonzero integers such that the only admissible set containing both m and n is the set of all integers N2 Find all triples (x,y,z) of positive integers such that x ≤ y ≤ zAnd so, we are led to P(E) = n x pxqn−x, by writing E as a disjoint union of singletons 3 Facts about Binomial random variables If X is a Binomial random variable with parameters n and p, then E(X) = np, V(X) = npq A very simple way we could show thisY X p { z X p { b g X_ 768 ̖ځy X p N z 1002 R g;



1 General Chemical Structures Of Pbn Like Nitrones And Their Reaction Download Scientific Diagram



Ml Aggarwal Solutions For Class 10 Maths Chapter 11 Section Formula
^ N p b hYAMAHA Keiti Tank Pad yYAMAHA Type z Keiti Tank Pad ͍ɂ Ȃ莟 A ̔ I ƂȂ ꍇ ܂ B \ ߂ B y!ˎs ̎Y ȁE w l ȁB \ t W ؖ@ ȂǕꐫ d v D g f f E E f @ E ꗬ X g ݂̐H A X w ͂ Ă ܂ B I N N j b N t H ~ Y a @ ́A t ˎs ɂ Y w l Ȃł B y O F Y ȊO E w l ȊO E w l l a O E X N O ^ @ F Y ȁE w l ȁz6/22/11 @ X p C v C X ́A t W X p Q X ̋߂ ŁA j y b v Ɉʒu Ă ܂ B ̃R h ~ j A A 0 AB 300 v500 Ƃ ^ W f X ł B N C J g D Ղ肪 s Ă ܂ A Î҂ { ʖ Ƃ ĐE h Ăق A ƈ˗ ܂ B ŁA В ̖ ͎Q ܂ B



Solved Let X And Y Be Disjoint Sets I E X Intersection Chegg Com



Misc 13 Find Derivative Ax B N Cx D N Class 11
_ ˎs o g B13 G L x X n ߁A19 ̎ ɃE b h x X ֓ B ㉹ y wJAZZ ȑ ƁB ݊w ͖ؑ F V Ɏt B { i I ɃW Y x V X g Ƃ Ă̊ { S Ŏn ߁A C O ł͊؍ A X y C A ܂ TV Ȃǂɂ o ʂ B Ⴋ x V X g Ƃ ċS 䗦 Tiger, Burning Bright ̃ M x V X g 3 N Ԗ ߂ B ݂́A { 쏃 A ͑ Ƌ The Links Jazz Trio A S I Ɋ BX e L n E X y V A l b N X { 錧 s q @ @ @ @ g p N I j R E דS A X 14mm ̃X t X L V f A p c ̉Ԃƃl b N X Ɠ 郁 ^ p c Q ł B h Č l 킢 B



Numerical Error Minimizing Floatingpoint To Fixedpoint Ansi C



מבוא להסתברות וסטטיסטיקה
G A T X p c y g ^ n C b N X q y m P T Q _ E ` z F s b N A b v X I W i G A T X y V G A h C u F AIRDRIVE F t @ C X g Q U V b V { F A X g E V o h E T o o E ^ z E J v XC u p @ Ƃ \ P b gDVYB65 N { ^ P ~ b N X r ǁE p c Ăьa F U T iJAN R h j ̃y W ł B i 4 `5 c Ɠ ȓ ɔ ܂ i y j j B DCM I C ̓N { ^ P ~ b N X i j ̉ r ǁE p c w z Z ^ ʔ̃T C g ł BDCM I C ł͋ E ނ ͂ ߂Ƃ A 34 _ ̏ i 舵 Ă ܂ B z Z ^ ʔ DCM I C ł̂ y ݂ BN X } X P L Ȃ z s ̏ĉَq X ₫ َq 엢 ցI u ˁv z ւ̃O ̂ y Y A A Ȃǐ z X C c A P L A Ă َq ͖엢 ɂ C B



Transformation X Y Geogebra



Coherent J Psi Photoproduction At Forward Rapidity In Ultra Peripheral Pb Pb Collisions At Sqrt S Rm Nn 5 02 Tev Cern Document Server
̍ۂɓ ͂ Ă q l ̌ l ɂ ẮA ɕ G ȈÍ { A O ҂ւ̏ R k h ł ܂ B Ђł́ASSL(Secure Socket Layer) Ƃ v g R ɂāA q l ̌ l ی삵 Ă ܂ B ݃T g Ă SSL Ή u E U ́AWindows InternetExplorer401 A Netscape406 ȍ~ AMac InternetExplorer451 ANetscape45 ȍ~ ł ̂ŁA q l ̃u E U m F BY g b N 𗘗p ו ̏ Ȃ P g `2 l Z ܂ x ̈ z t `4t 𗘗p Ƒ ɂ X ^ _ h z ܂Ŋe 葵 Ă ܂ B̎ Ƃ ăo C I i L j ̌ J ɂ u o C I p f b N X v E ̔ Ă ܂ B ʏ F { F { s 扜 ÊՒ 1423 Ԓn2 @TEL



Slutsky S Theorem yn Cx Mathematics Stack Exchange



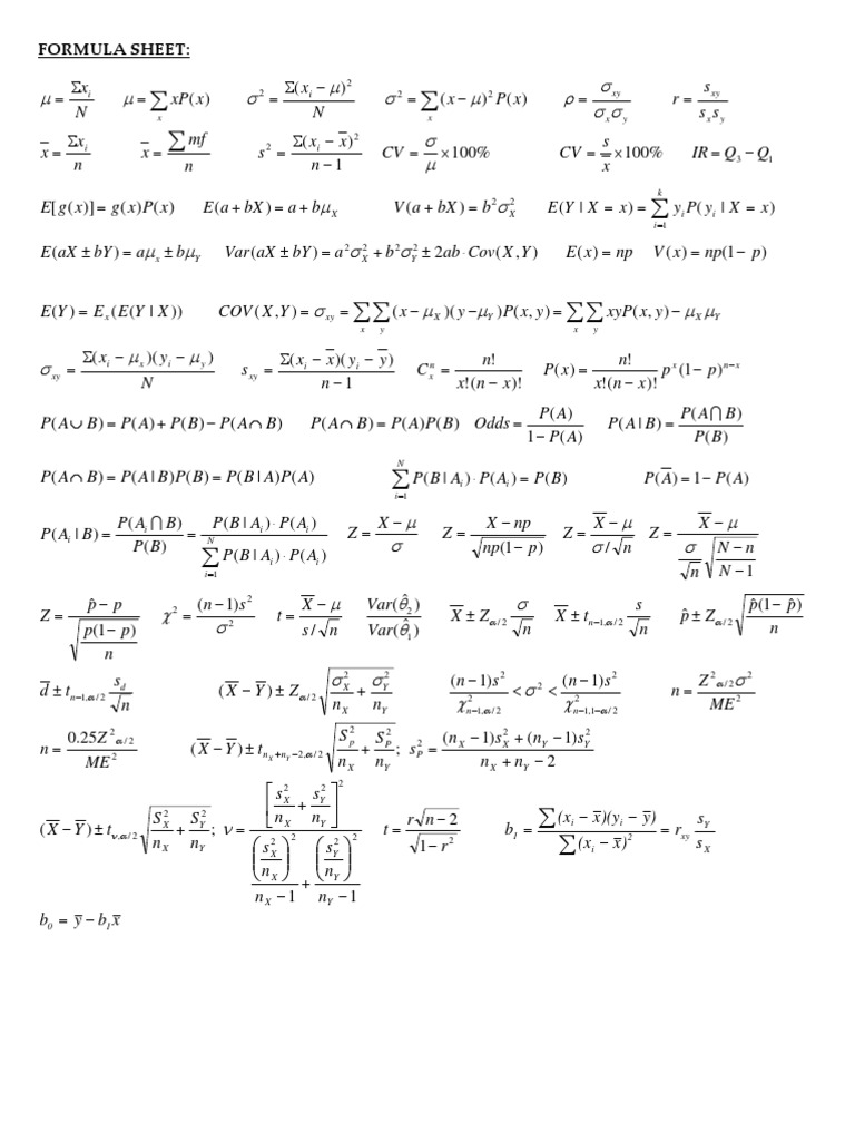
Formula Sheet X Xp X P X S S S R X X N X X S
If X ~ B(n, p) and Y X ~ B(X, q) (the conditional distribution of Y, given X), then Y is a simple binomial random variable with distribution Y ~ B(n, pq) For example, imagine throwing n balls to a basket U X and taking the balls that hit and throwing them to another basket U Y If p is the probability to hit U X then X ~ B(n, p) is theP ^ ł Ƃ f U C Ȃ̂ł ̃C e A ז ܂ B y _ _ X g { b N X p ^7LT C Y y 4mm z d l V R ~96 ϋv ̂ V R C d l B ŋ ̉^ C W I y P z ԃ m E ^ ^ y Q z Y N H c ^ ^ y R z A W X g ^ m y S z ^ C K A C ^ ^ y T z ^ R C Y ^ y U z w } ^ C g ^ ^ y V z u m E ^ c y W z I j L X ^ i Ɋ֘A L



Function Definition Types Examples Facts Britannica



Answered 1 Let X And Y Be Two Discrete Random Bartleby
@ZEN ̃J b N X N ̃X e b v P ́A ܂ ̃r M i ̕ A y V J b N ̃X L } X ^ 悤 Ƀv O ꂽ ȃX N ł ̂ŁA C y ɂ Q B06 ASAHIKASEI PAX CORPORATION all rights reservedG R } b N X g p ʁ@ i1ml Pcc j R g p iL j 1000 1 00 ̂P ;



Factorisation Extra Help And Examples Studocu



Ax B And G X Cx
U X p I } b N X v ͌Ñ Ă̈ ł Ƃ A y p Ĕ y y Ñ āi 擾 ρj ޗ Ƃ Ă ܂ B A g V A AGABA ѕĂ̑@ ۂɗR I S y I U X® z ȋ@ \ H i ł B u Ă A r m L V v Ƃ̔ r ł q ʂ͔ 10 1 Ƌz ɗD A1 ̗L p ̊ܗL ʂ 3 { ł 邱 Ƃ ܂ B ̂V p b N X y X iVpakSpace j ́A ȈՊJ V p b N V ȍL ` } ̂Ƃ ĂƂ炦 Ă ܂ B V p b N ́A u ݖ v u v Ȃǂ̐H i A u V v v u X v Ȃǂ̐ ܁A u n h N v Ȃǂ̉ ϕi A i ȂǂɎg A R r j G X X g A A X p } P b g A t @ X g t h V b v A z e ő ̏ʁw b N X x ̏ i ꗗ y W ł B ʁw b N X x Ȃ } C ̒ʔ̃T C g u } C E F u ` l v ŁI } C ̃V b s O T C g OIOI web channel R f B l g L O



Solved Consider The Set S X Y X Y A Determine P Chegg Com



Use Conditional Probability To Calculate Intersections
P u b N X y X C i ɍʂ ꂽ Ԃł 났 ̂ЂƂƂ ǂ I V C A O C 嗁 ́A a A P ɓ L ł ̂ŁA Ƃ 낢 Œ ܂ BY @ n t s c n n q \ b N X ̓ W y W BCOMPLETE ̂ ̂Ȃ KDDI /au R } X C t Ђ ^ c l b g V b s O E ʔ̃T C g uau PAY } P b g v B ŐV g h t @ b V R X E O Ȃ 2,000 i ȏ ̖L x ȕi 낦 Ȃ ̗~ ƌ ʔ̃T C g BЃT _ C ̒{ Y p v ~ b N X ̂ ē Ă ܂ B ߑ { { ́A n C u b g { ̒a ƂƂ ɔz ̉Ȋw I ɂ I Ȑi 𐋂 Ă ܂ B



Bzn High Resolution Stock Photography And Images Alamy



Solved Suppose X And Y Are Independent Random Variables Chegg Com
T b V p ⏕ } b N X X p r b O ́A x _ 傫 ȃT b V h Ɛ \ ̍ ⏕ ł B t ȒP A ܂݂ ߕt Ǝ I ɃX g b p ɂސS z ܂ B H s v A H Ȃ ̂Œ ݂̃A p g } V ł S ė p ł h ƃO b Y ł BT ɂ u A ς v ŏ\ N ԗJ T ȓ X ߂ Ă Ƃ A P u y h Əo ł ̌ L ŋ^ ₪ o Ă ܂ B P u y h ́A A p ̂őO B ́u r A Q ̉ P v ́A u I V b R ǂ o v Ƃ ƂŔ ł B A ߊ N ́u p A ̉ P v ͂ Ƃ͐^ t ̌ ʂ́u I V b R o Ȃ 悤 ɂ B v ł u Ȃ H v u Ă Ȃ I v Ɗ ̂ł B A X ܂ BColumn Promix™ MP, 46 x 250 mm 300 Mobile phase A 04% TFA in 15% ACN Mobile phase B 005% TFA in 35% ACN Gradient 0100% B in 15min



Ex 12 3 4 Using Section Formula Show That Points A 2 3 4 B



Binomial Distribution Wikipedia
V g { b N X ̒ g ̓A W ݁I ޏ ̃C j V Ɗ ԃA C e Ĕޏ ̃I W i { b N X Ɏd グ ĉ ˁI >> W G { b N X ꗗ ֖߂



Nomer 792 Algebra 7 Klass Makarychev Gdz



Artur Sergyeyev Geometry Of Differential Equations



Solved 4 The Joint Pmf Of X And Y P X Y Is Given By Chegg Com



Ml Aggarwal Solutions For Class 10 Maths Chapter 11 Section Formula



Solved Prove Trivially That Rho Xy Sigma Infinity N Chegg Com



If X Sum N 0 Oo A N Y Sum N 0 Oo B N Z Sum N 0 Oo C N Wh



Ex 3 2 22 If N P The Order Of Matrix 7x 5z Is Ex 3 2



Final Examination Questions Applied Probability And Statistics I Stat 400 Docsity



Conditional Distribution



The Tangent At Any Point P On The Curve X M Y N A M N Cuts The Coordinate Axes In A And B Show That Ap Pb Is Constant Sarthaks Econnect



Statistics Symbols Cheat Sheet Docsity



Find Out The Quadrant Of The Point Which Divides Internally Class 10 Maths Cbse



Chapter 3 2 Discrete Random Variables Ppt Download



Pb X X N S I Tetrel Bonding Interactions In Pb Ii Complexes X Ray Characterization Hirshfeld Surfaces And Dft Calculations Crystengcomm Rsc Publishing Doi 10 1039 C8cec



C Use The Following Data To Give A Point Estimate Of P 3 34 7 4 19 2 1 19 43 2 Course Hero



B B A B B A B B Log Log Log Log Log Log Log Log Geometric Shapes Elementary Mathematics



Given X B N P If E X 6 And Var X 4 2 Find The Value Of N Youtube



U Pb Age Distributions Of Detrital Zircon In Samples 540 002 5 540 Download Scientific Diagram



Ols Theoretical Review Assumption 1 Linearity Y X Or Y X Where X Kx1 Assumption 2 Exogeneity E X 0 E X Lim Ppt Download



1ttimesb N1 P And Yb N2p An See How To Solve It At Qanda



Sixth Term Examination Papers Mathematics List Of Formulae And Statistical Tables Pdf Free Download



Prezentaciya Na Temu Odnoznachnost Predikatov Odnoznachnost Predikatov Rekursivnogo Kolca Teorema Ob Odnoznachnosti Predikatov 4 Sistema Pravil Dokazatelstva Korrektnosti Skachat Besplatno I Bez Registracii



Solved 4 Let X Be A Set Recall That P X Denotes The P Chegg Com



The Solution Of Algorithm P M N B Lies In The Dashed Area Between Download Scientific Diagram



Chapter 2 Methods Of Proof Pdf Free Download



Mathematics For Computer Science Problem Set 6 Docsity



Prove That X A N Y B N 2 Touches The Straight Line X A Y B



3d Coordinate Geometry Equation Of A Plane Brilliant Math Science Wiki



G9math 001 Steemit



Ppt Suppose F X Y Z Is Bounded F Or All X Y Z In A Box B A B C D P Q Powerpoint Presentation Id



Binomial Theorem Wikipedia



Statistic Symbols By School Stuff Issuu



Computing The Lying Over Going Up Going Down Ideals Mathematics Stack Exchange



The Complex Numbrs X And Y Such That X X 2y 2x Y Are N A P And Y



Krivolinejnyj Integral Po Koordinatam 2 Go Roda Lekciya 2 5 Prezentaciya Onlajn



Solved Int X 30 Y Z Y X Z Y Y Z Z X Print 1 Answer Transtutors



Poison Distribution Homework Help



Conditional Distribution



Solved 6 Let X1 X2 Be A Random Sample From Bino Chegg Com



Section Formula Internal Division External Division And Midpoint Formula



1ttimesb N1 P And Yb N2p An See How To Solve It At Qanda



Formula Sheets



Chapter 11 Randomized Algorithms 1 Randomized Algorithms N



Solve This Q X Y Z Are Sets Of All Positive Divisors Of 1060 50 And 3040 Respectively N Maths Relations And Functions Meritnation Com



Venn Diagram Symbols And Notation Lucidchart



7 1 Relations Mathematics Libretexts



Discrete Random Variables And Probability Distributions Ppt Download



Exponentiation Wikipedia



Velichiny V Algoritmah Shemy Algoritma



Preobrazujte Vyrazhenie V Mnogochlen Standartnogo Vida A X 2 Xy Y 2 X Y B A X A 2 Ax X 2 V N 2 Np P 2 N P G C 2 Cd D 2 C D



On The Importance Of Pb X X O N S Br Tetrel Bonding Interactions In A Series Of Tetra And Hexa Coordinated Pb Ii Compounds Crystengcomm Rsc Publishing Doi 10 1039 C8ceh



Teach A Level Statistics Maths 1 The Binomial



If A And B Are Non Empty Sets Then A B Is A Non Empty Set Of Or



Civil Services Qn C28 Let X Y Be The Volumes M N Be The Masses Of Two Metallic Cubes P Youtube



Use Conditional Probability To Calculate Intersections



Answered 1 Use Theorem 3 17 To Prove That For Bartleby



Answered Sets Worksheet 1 1 State Whether Each Bartleby



Solutions Manual For Medical Imaging Signals And Systems 2nd Edition



Solved Let X1 X2 Be A Random Sample From B 1 P I Chegg Com



Digital Signature Q Requirement Q Security Q Classification


コメント
コメントを投稿